
Shinzo Abe was assassinated.

In an ocean of EU/NATO bureaucrats, Abe was one of Trump’s strongest allies.

Shinzo Abe was assassinated.

In an ocean of EU/NATO bureaucrats, Abe was one of Trump’s strongest allies.
The problem with talking to dumb people is they’re too dumb to understand.

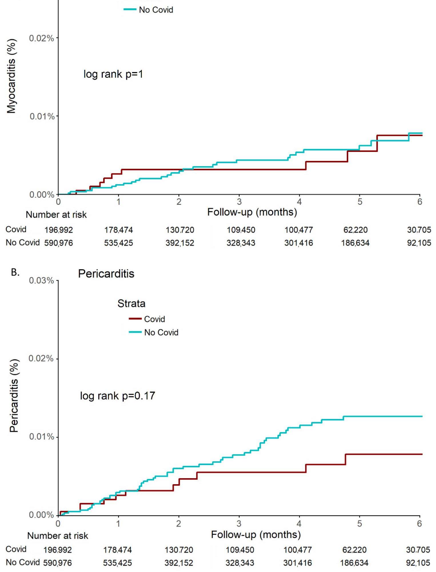
Incidence of myocarditis and pericarditis in post-COVID-19 unvaccinated patients, no observed increased incidence of either pericarditis or myocarditis in adult patients recovering from COVID-19 infection.

Log charts.
Russian MoD says two HIMARS systems and associated ammo dumps were destroyed.

Liz Cheney in June encouraged Democrats to register as Republicans to save her from losing to a Trump-backed challenger in the GOP primary.
I saw this at the time, but wasn’t sure if it would amount to anything, seems it’s having some effect, not sure if it’s enough to save her.

Wyoming Democrats registering as Republicans to vote for Liz Cheney, daughter of Dick Cheney, in the Wyoming GOP primary.

AANES (SDF/YPG) declares general emergency across northern Syria in response to Turkish threats of invasion.